News GigaCable Max: Vodafone bietet Gigabit-Kabel wieder für 40 Euro an

Fighter1993 schrieb:
DSL ist das einzig wahre.
Wenn man nicht aufs Glück setzen will das Kabel bei einem funktioniert.

Down kommt hier fast immer an. Aber seit VF übernommen hat, gibt es beim Upload werktags immer wieder <10 Mbit im Upstream, anstelle 50.

Ich hatte vorher mit Unitymedia und davor mit ISH nie wirklich Probleme. Da hatte ich mit DSL mehr Ausfälle auf das Jahr gesehen, als mit Kabel. DSL ist nicht das einzig "Wahre". Es kommt IMMER auf die Situation an.

VF verkauft halt massig Leitungen, überbucht seine Stationen massiv und baut diese dann mehr als "träge" bis gar nicht aus. Aber für 40€ / Monat habe ich zumindest abends und am Wochenende volle Leitstung. Ich habe Telekom DSL 250 als "Fallbackl", da ich viel von zuhause arbeite. Ist auch schon ausgefallen, mal für 20 Minuten, mal für zwei Tage... Nur 5 Parteien im Haus, ich bin da einzige "Vielnutzer".

Telekom kostet mich 55€ / Monat für 250Mbit, VF 45€ (mit Fritz gemietet). Jo mei, woas nimmt man da? ^^
 
Seit September 2020 keinerlei Probleme mit 1 Gbit.
Wird mal Zeit das was schnelleres kommt :D
Hoffe dieses Jahr noch auf 100 Mbit Upload.

1644666727681.png
 
CastorTransport schrieb:
Telekom kostet mich 55€ / Monat für 250Mbit, VF 45€ (mit Fritz gemietet). Jo mei, woas nimmt man da? ^^
Wir haben hier auch Telekom 100.000 und da war noch nie was.(Ausser Generalausfall am Verteiler aber das betrifft ja dann alle Anbieter.) Es kommen gut 98.000 an.
Ich hab halt schlechte Erfahrungen mit Kabel gemacht. Mit DSL noch nie.
Der ursprüngliche Plan war ja Unitymedia 400Mbit nur leider hat das nicht geklappt.
 
Ich bin 2001 nach Köln gezogen und da gabs ganz am Anfang garkein DSL ;)
Durfte da mit der Arcor ISDN Flatrate zurechtkommen ;)

Als dann wieder ein Umzug anstand, habe ich sehr darauf geachtet das das Breitbandangebot auch stimmt.
Ich hab jetzt das grosse Glück das ich zwischen 2 Anbietern (Vodafone,Netcologne) auswählen kann die beide 1 Gbit anbieten.
Während der grosse Ex Staatskonzern es hier nur mickrige 50 Mbit schafft

;)
 
Riplex schrieb:
Ich hab jetzt das grosse Glück das ich zwischen 2 Anbietern (Vodafone,Netcologne) auswählen kann die beide 1 Gbit anbieten.
Während der grosse Ex Staatskonzern es hier nur mickrige 50 Mbit schafft
Wenn du noch immer in Köln wohnst, hat das hier einen Hintergrund. Nachdem NetCologne (es gehört zu Teilen den Stadtwerken und der Stadt selbst) Köln und Umgebung mit Glasfaser erschlossen hat, wollte man irgendwann nicht noch einmal alle Straßen aufgraben. Die Telekom verkauft hier seit einiger Zeit nun NetCologne Leitungen und baut das eigene Netz kaum oder gar nicht mehr aus.
 
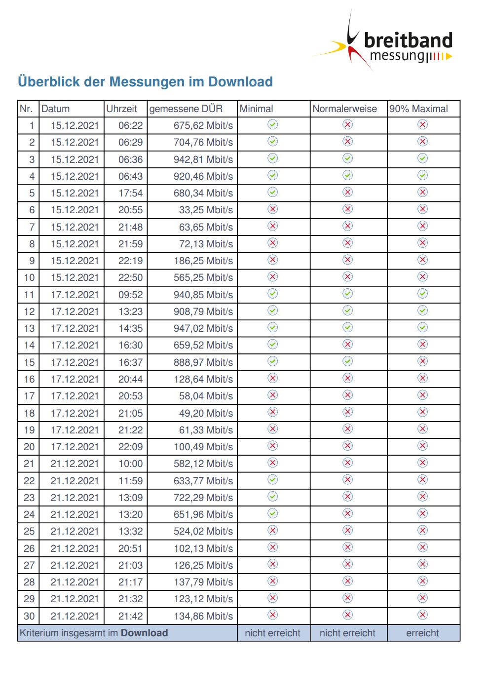
Bin seit fast 2 Jahren Cabel Max Kunde, ist schon geil, zwischen 0-5 Uhr oder Vormittags und wenn keiner da ist. Momentan habe ich statt Gigabit nen Halbes... Was top ist ist natürlich der Upload und der liegt konstant bei 54 MBit/s... Könnte aber gern schneller sein. Abends zu Primetime tröpfelt es gern mal, so sieht "Gigabit" bei mir aus: https://www.breitbandmessung.de

breitband.JPG
 
Und wie stark bricht der Upload ein in den Abendstunden zur Primetime ab 20 Uhr?
Das ist wichtig für Streamer
 
fec0::ffdd schrieb:
Abends zu Primetime tröpfelt es gern mal, so sieht "Gigabit" bei mir aus:
Interessant wäre an dieser Stelle, wie dein Anschluss überhaupt aussieht und ob er schon um den zusätzlichen DOCSIS3.1 Kanal ausgebaut wurde.
1644670036294.png
 
@mr999
Ich will eigtentlich nicht wechseln und bin mit der TCom ziemlich zufrieden, aber z.B ein 10er weniger im Monat zahlen läppert sich halt auf Dauer. :)

Sind aktuell bei 45€/Monat für 250Mbit (real 280) Download und 50 im Upload.
 
Echt teuer wenn man bedenkt das man bei der Konkurrenz 13 Monate für unter 150€ bekommt.
(Ab Monat 14 geht man dann wieder in einen Neukundendeal)

- Lohnt sich nur wenn man länger als 24 Monate bei einem Anbieter bleiben möchte -
 
xexex schrieb:
Interessant wäre an dieser Stelle, wie dein Anschluss überhaupt aussieht und ob er schon um den zusätzlichen DOCSIS3.1 Kanal ausgebaut wurde.
Down:
1 Kanal QAM 1024 (OFDM 151~324 Mhz)
14 Kanäle QAM 256 (130-690 Mhz)
18 Kanäle QAM 64 (698-834 Mhz)

Up:
1 Kanal 16_QAM (OFDMA29.8~64.8Mhz)
4 Kanäle QAM 64 (31,37,45,51 MHZ)

meint der Design Award Router...
 
Rawday schrieb:
@mr999
Ich will eigtentlich nicht wechseln

Ja dazu musst du aber aktiv werden :)
Geht wie beschrieben sehr einfach, keine Angst.
Die Kündigungsrückgewinnung der Telekom kennt das. Und macht dir gleich ein Gegenangebot zu dem 1&1 Angebot.
 
Down muss 31 x 256 QAM sein. Wenn die gegenstelle auf 64 Qam runter regelt gibts vielleicht eine Einstrahlung oder irgendwas stimmt mit der Hausverkabelung nicht bzw. der Verstärker im Keller ist defekt.
 
  • Gefällt mir
Reaktionen: fec0::ffdd
Vodafone.jpg


Weiß auch nicht was alle für einen Ärger mit denen haben, hatten zwar auch 3x Probleme in 7 Jahren aber einmal war es damals bei 100er Tarif die alte Fritzbox 6360 die Probleme gemacht hatte, nach dem Tausch auf die 6591 auf 200Mbit/s und einen Monat danach auf 1000Mbit/s lief alles ohne Probleme.

Letzten Sommer war dann mal für ne Woche ab späten Nachmittag der Upload die im Keller das die Leitung nicht benutzbar war, was auf Anfrage von VF an einen Rückwegstörer lag, man hat sich auf die Suche gemacht aber nach 2 Tagen war das Problem verschwunden und sie konnten ihn nicht ausfindig machen.
Als es im September dann wiederkam direkt VF kontaktiert und sie konnten ihn in den folgenden Tagen finden und seitdem ist alles bestens.

Gibt Zeiten da liegt der Upload nur bei 35-40Mbit/s aber die Downloadrate ist immer da und der Ping ist in den letzten Monaten auch deutlich besser geworden und liegt jetzt bei 15-18ms statt vorher bei 20-25ms.

Mit meinem Mi 11 schaffe ich direkt neben der Fritzbox im WLAN sogar 1100-1125Mbit/s, hier am Desktop ist es leider auf ~940Mbit/s limitiert wegen des fehlenden 2,5Gbit/s LAN Anschluss an der FB 6591.
 
Speedtests sollte man zur Primetime machen von 20-22 Uhr. Tagsüber gehts ja meistens.
Aber erst zu den Abendstunden zeigt es sich richtig.
 
mr999 schrieb:
Speedtests sollte man zur Primetime machen von 20-22 Uhr. Tagsüber gehts ja meistens.
Aber erst zu den Abendstunden zeigt es sich richtig.
Also ich hatte hier außer den Ausnahmen die ich erwähnt hatte nie Probleme damit, die ersten Monate damals (2014/2015) mit der 100 Down/6 Up Leitung gab es diesbezüglich mal Probleme die aber ziemlich abgestellt wurden und innerhalb es Miethauses lagen. War aber trotzdem damals noch besser als das DSL was erst mit 4,5Mbit/s Down und 0,6Mbit/s Up lief und später nur noch mit 3Mbit/s Down und 0,6 Mbit/s Up
 
Weiß jemand, ob die WLAN Option wie beim letzten Mal bei den 40€/Monat inklusive ist?
Oder muss man für WLAN 3€/Monat extra bezahlen?
 
Riplex schrieb:
Down muss 31 x 256 QAM sein. Wenn die gegenstelle auf 64 Qam runter regelt gibts vielleicht eine Einstrahlung oder irgendwas stimmt mit der Hausverkabelung nicht bzw. der Verstärker im Keller ist defekt.
Neee... Das ist im Vodafone Netz durchaus eine mögliche Konfiguration.
https://helpdesk.vodafonekabelforum.de/wiki/Frequenzraster_bei_Vodafone_Kabel_Deutschland

Im vorliegendem Fall ist das die Variante 1 mit TaFDM, also eigentlich genau die aktuellste Ausbaustufe.
 
  • Gefällt mir
Reaktionen: up.whatever, fec0::ffdd und Tom_123
Zurück
Oben