Bericht Nikolaus-Rätsel 2021: Gaming-PC mit Core i9-12900K und GeForce RTX 3080 Ti

So, ich habe ohne Pause 2h für die Frage 2 gebraucht. Letztendlich stimmen die Hinweise, die gegeben sind, auch der mit Wikipedia, aber andere Hinweise, die man komplett ignorieren konnte, kosteten mit 1h55min. Ich war von Anfang an auf der richtigen Spur, aber habe eben alle Hinweise berücksichtigt und dann kommt man nicht ans Ziel und man kommt auch nicht drauf, was man falsch macht.
 
Zuletzt bearbeitet:
  • Gefällt mir
Reaktionen: che.guevara, EUROFlGHTER, cyberpirate und 4 andere
So, nach stundenlangem Hirn-Zermartern habe ich es jetzt auch - und ich fühle micht nicht erleichtert ... denn ich darf jetzt nur noch 5 Stunden schlafen. Dann muss ich aufstehen und arbeiten :)

Einen Rekord habe ich aber aufgestellt: Ich bin bestimmt der, der am längesten gebraucht hat die Lösung zu finden ohne aufzugeben. Schätze es waren insgesamt 5-6 Stunden Recherche. Toll :)

Ich stimme @cleric.de zu:
Derjenige, der sich die Frage ausgedacht hat, ist vom Ziel ausgegangen und hat dann über mehrere Umwege (die leider "aus der anderen Richtung" nicht logisch herleitbar sind) den Start der Frage erdacht. Wenn man die Lösung hat, passt alles - aber es ist unheimlich schwer einfach so darauf zu kommen...

Naja- egal. Gute Nacht an alle !!! ;)
 
  • Gefällt mir
Reaktionen: plami, McTheRipper, EUROFlGHTER und 3 andere
ich habe schon laaange aufgehört zu zählen.
Und aufgegeben wird auch nicht.

Frage 2 wird spätestens morgen geknackt.
 
  • Gefällt mir
Reaktionen: plami, GUN2504, ComputerJunge und 3 andere
bananenmann73 schrieb:
Einen Rekord habe ich aber aufgestellt: Ich bin bestimmt der, der am längesten gebraucht hat die Lösung zu finden ohne aufzugeben. Schätze es waren insgesamt 5-6 Stunden Recherche.
Nö. Gehe jetzt aber auch erst mal schlafen…
 
Danke fürs Gewinnspiel @ CB und Sponsoren.
Ich hoffe, vor allem das System gewinnt jemand der es auch brauchen kann weil er/sie auf einer uralt Gurke sitzt und sich bei den aktuellen Preisen oder aus anderen Gründen nix neues halbwegs schnelles leisten kann.

CB-Pro hab ich schon, mein sehr bequemer 299€ Bürosessel ist nagelneu und mein etwas über 1 Jahr altes System reicht mir völlig, auch wenn es um einiges langsamer als der Hauptpreis ist.
Genau aus dem Grund werde ich nicht mitmachen. :)
 
Zuletzt bearbeitet:
  • Gefällt mir
Reaktionen: Redundanz, Tagesmenu und ComputerJunge
Auf das Gewinnspiel freue ich mich jedes Jahr wieder.
Und die Fragen sind kompliziert, insbesondere die Formulierung man braucht mehrere Anläufe die Antworten zu recherchieren.
Ich denke ich habe jetzt die Lösungen, mache morgen aber noch Mal den Plausibilitätscheck.
 
Zotac2012 schrieb:
Aber da habe ich auch etwas für den Moderator, der sich diese Fragen ausgedacht hat:
1638847421436.png


1638847404351.png

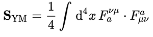
Wirkungsintegral über die Lagrangedichte.
F ist der Feldstärketensor.
Das untere Integral ist letztlich die 'ausgeschriebene Form' wo F als kontra- und kovarianter Tensor im Tensorprodukt (inkl. einsteinscher Summenkonvention) steht. Integriert wird über den 4 dimensionalen Raum, wobei x2,x3,x4 die Raumachsen beschreiben und x1 die zeitliche Komponente (bzw. Impuls) enthält.
Edit: Das obere Integral sagt, wie erwähnt, das gleiche aus. Dort steht im Inegral die Spur über die Schnittmenge von F und F konjugiert (im Minkowski-Raum 'konjugiert')

So, jetzt muss ich nur noch Frage 2 lösen...
Ich seh da irgendwie auf Biegen-und-Beinbrech-GmbH&CoKG kein "index="... und ich bin mir eigentlich ziemlich sicher am richtigen Ort zu suchen.... Aber offenbar bin ich da trotzdem falsch.

Edit2:
Ich hasse mein Leben...... habs jetzt gecheckt. Frage 2 ist aber meeeehr als missverständlich formuliert.
 
Zuletzt bearbeitet:
Zanza schrieb:
Ich denke viele werden an Frage 2 scheitern.
die übliche Quote ist so 20-25% falsche Antworten, wenn ich mich recht erinnere
 
also Frage zwei verstehe ich überhaupt nicht..
 
Gestern den ganzen Abend damit verbracht Frage 2 zu lösen. Bin einfach nicht drauf gekommen. Heute früh ist es mir wie Schuppen von den Augen gefallen und die Lösung lag nach 2 Minuten vor mir.

Eine Nacht drüber schlafen ist der beste Tipp für das Rätsel ;)
 
  • Gefällt mir
Reaktionen: BummlerD, JackA, ComputerJunge und eine weitere Person
schon knifflig teilweise - aber ein bisschen Mühe kann man sich da schon machen ;)
 
bananenmann73 schrieb:
Derjenige, der sich die Frage ausgedacht hat, ist vom Ziel ausgegangen und hat dann über mehrere Umwege (die leider "aus der anderen Richtung" nicht logisch herleitbar sind) den Start der Frage erdacht. Wenn man die Lösung hat, passt alles - aber es ist unheimlich schwer einfach so darauf zu kommen...

Nicht unbedingt. Man muss nur zufällig so denken wie der Autor und schon hat man die Lösung relativ schnell gefunden.

Durch das viele Gemecker hier über das Gewinnspiel, ist es umso befriedigender, wenn man alle Lösungen gefunden hat :)
 
Wetter, Wetter.... gestern auf Arbeit mal die News gelesen.... die 4 Fragen beantwortet und an der 2 hängen geblieben... keine Zeit gehabt... Abends nochmal drüber geschaut... nix... Und heut früh tatsächlich den richtigen Weg gefunden... der eigentlich - wie schon soviele schrieben - echt simpel ist :D

@IChThySs hat vollkommen Recht.... einfach mal drüber schlafen ;)
 
Da ist mir meine Freizeit mehr wert als ein Haufen Elektronik :D;). Schon recht verwirrend die Fragen, da hat doch der Autor 1 Woche gebraucht :p.
 
  • Gefällt mir
Reaktionen: McTheRipper und Shy Bell
bananenmann73 schrieb:
Derjenige, der sich die Frage ausgedacht hat, ist vom Ziel ausgegangen und hat dann über mehrere Umwege (die leider "aus der anderen Richtung" nicht logisch herleitbar sind) den Start der Frage erdacht. Wenn man die Lösung hat, passt alles - aber es ist unheimlich schwer einfach so darauf zu kommen...
Das würde ich vermutlich ähnlich machen, zumindest bei den Vorgaben, a) die Aufgabe muss eine "harte Nuss" sein, und muss, b), komplett innerhalb des Contents von Computerbase lösbar sein. Das kann durchaus eine "verdammt harte Nuss" werden.

Die Frage 2) jedenfalls erinnert mich stark an eine Schnitzeljagd.
 
Was meckert ihr? Für 2500€ kann man ja schon mal sein Hirn anstrengen
 
  • Gefällt mir
Reaktionen: H1ldegunst, JackTheRippchen, RaptorTP und eine weitere Person
Leute, ich bin kein Deutsch-Genie aber ich war immer in der Lage Texte zu verstehen (alte Dichter und Denker unseres Landes mal ausgenommen).
Aber eure Fragestellungen muss ich jedes Jahr 10mal lesen um die zu verstehen😅 Ich werde mich trotzdem wieder dran versuchen.
Ich will allen Teilnehmenden, abgesehen von mir, aufrichtig wenig Glück wünschen.

LG
 
Zurück
Oben